[기하] 1 - 04. 타원의 평행이동
2020. 2. 10. 21:13ㆍ수학 필기노트/기하
반응형
수악중독님의 교재를 참고하여 작성하였습니다. 학생이다 보니 틀린점이 있으면 마음껏 지적해주세요
수식은 mathjax api를 사용하였습니다
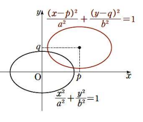
저번에 배웠던 타원의 방정식을 평행이동 시켜보자.
타원의 방정식 평행이동

고1때 배운 방정식의 평행이동을 그대로 적용시켜,
$x$ 대신 $x-p$를, $y$ 대신 $y-q$를 대입한다.
그렇게 되면 초점, 꼭짓점, 중심도 함께 움직이게 된다.
타원의 평행이동을 이용하여 간단한 예제를 풀어보도록 하자
#1
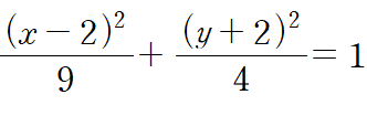
방정식 $4x^3+9y^2-16x+36y+16$가 나타내는 타원의 초점과 꼭짓점의 좌표를 구하시오.
먼저, 주어진 방정식을 표준형으로 바꾸어보자
이차항의 계수로 묶어내면 $4(x^2-4x) + 9(y^2+4y) + 16$이 되고,
완전제곱식으로 풀면 $4[(x-2)^2-4] + 9[(y+2)^2] + 16$ 이 된다.
괄호를 없애주면 $4(x-2)^2+9(y+2)^2-36$, 전체를 36으로 나누면

가 된다.
따라서 초첨의 좌표는 $(+-\sqrt{5}+2, -2)$이고,
꼭짓점의 좌표는 (-1,-2), (5,-2), (2,0), (2,-4)가 된다.
반응형
'수학 필기노트 > 기하' 카테고리의 다른 글
| [기하] 1 - 06. 쌍곡선의 점근선 (0) | 2020.02.18 |
|---|---|
| [기하] 1 - 05. 쌍곡선의 방정식 (1) | 2020.02.14 |
| [기하] 1 - 03. 타원의 방정식 (0) | 2020.02.03 |
| [기하] 1 - 02. 포물선의 평행이동 (0) | 2020.01.30 |
| [기하] 1 - 01. 이차곡선_포물선의 방정식 (0) | 2020.01.24 |